„Café Trauma im g-Werk“ protestiert in Offenem Brief gegen geplanten Verkauf des Afföllergeländes durch die Stadt Marburg

Marburg, 08.04.2019 (red) Am Donnerstag soll bereits in einer Stadtverordnetensitzung über den Verkauf des Geländes der Stadt <Marburg an den Afföllerwiesen bereiten und womöglich entschieden werden. Das Marburger. hat dazu …

„Café Trauma im g-Werk“ protestiert in Offenem Brief gegen geplanten Verkauf des Afföllergeländes durch die Stadt Marburg Weiterlesen

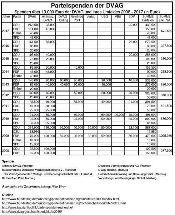
Rezension ‘Die gekaufte Stadt? Der Fall Marburg: Auf dem Weg zur »Pohl-City«?’

Marburg 25.02.2016 (red) “Die gekaufte Stadt?“ ist der Titel des hier zu besprechenden Buches. Ein plakativer Titel. Mit Fragezeichen. Der Untertitel präzisiert worum, um welche Stadt und um welchen Akteur …

Rezension ‘Die gekaufte Stadt? Der Fall Marburg: Auf dem Weg zur »Pohl-City«?’ Weiterlesen

Zentrum für medizinische Lehre eröffnet – mit 6 Millionen Euro von Dr. Reinfried Pohl-Stiftung finanziert

Marburg 15.12.2011 (pm/red) Am 13. Dezember wurde auf den Lahnbergen nahe zum Uniklinikum im Beisein von Vertretern aus Politik, der Philipps-Universität und deren Fachbereich Medizin das Zentrum für medizinische Lehre …

Zentrum für medizinische Lehre eröffnet – mit 6 Millionen Euro von Dr. Reinfried Pohl-Stiftung finanziert Weiterlesen